首先评估合成路线
通常认为NDMA来源需要同时具备二甲胺和亚硝化试剂,在雷尼替丁中发现NDMA的初始阶段,一致认为是制造过程中的引入。
-
制造工艺中使用了硝基甲烷,硝基甲烷的制造可能会使用到亚硝酸钠,而另一片段的合成使用了二甲胺,因此如果两者残留相遇将会产生NDMA。
-
不过二甲胺和亚硝酸胺之间相隔四个纯化步骤,有的步骤还是高真空蒸馏,因此这两者历经万险相遇的概率微乎其微。
-
二甲胺使用及残留过程中如果遇到亚硝化试剂也是有可能产生NDMA,进而污染API。
二甲胺使用步骤中没有额外的亚硝化试剂来源,而且二甲胺沸点极低,很难残留,通过LC-HRMS对中间体检验,发现二甲胺的残留均小于0.25mcg/g。
-
一些溶剂的回收使用也是有可能引入亚硝化试剂以及二甲胺,
该工艺的溶剂回收仅局限于该阶段的工艺使用,不会相互交叉污染。
-
制剂的生产过程以及辅料也有可能引入二甲胺和亚硝化试剂。
制剂的生产过程评估不会引入,辅料中均不含有二、三级胺结构单元,所有的辅料都不存在大量引入亚硝化试剂的可能(水中有痕量)。
-
本身降解的二甲胺可能会产生NDMA。
通过杂质和降解研究发现,雷尼替丁中的二甲胺均没有失掉。
通过以上信息可知:雷尼替丁中的NDMA不是工艺过程引入,也不是降解的二甲胺氧化或者和其他亚硝化试剂共存产生。
其次调查真实产生原因
检测了不同批次的NDMA含量,这些药物是2010~2019年生产得到。
分析结果得到:
-
NDMA的含量和制造日期有联系,生产日期越早相应的NDMA含量越大
-
原料药中的含量高于制剂中含量,而且同一批次原料药制备成制剂,NDMA的生成速率也会降低
短期稳定性研究
通过7天的加速实验发现供应商的两种工艺间存在差异,生成NDMA的速率相差很大,而这两种工艺唯一的不同点就是成盐和重结晶。
因此需要研究重结晶工艺的影响。
物理性质的测定
通过XRD检测两种工艺的物料晶型一致,但是通过SEM观察微观晶体形态发现了差异:
工艺1的晶体外观为不规则小球状,而工艺2得到的晶癖为柱形。
工艺1得到的不规则小球容易吸附水分,具有较低的分解温度。
通过固态核磁分析两种工艺中使用的溶剂均是在晶体外围,没有嵌入到晶格中,工艺1得到的小球外围残留了更多的溶剂。
加速稳定性研究
研究了温度和湿度对两种工艺得到的原料药稳定性的影响。
结论是:
-
温度和相对湿度的升高都增加了NDMA的形成速度。
-
柱状晶在低相对湿度下更稳定,但在较高相对湿度下与水的相互作用导致NDMA的生成速率增加。
综合以上数据分析
-
雷尼替丁的结晶控制以及晶癖是雷尼替丁中NDMA形成速度的关键因素。
-
由于不规则晶癖容易吸附水分,导致NDMA生成速率增加,而根据数据发现,水分是促进NDMA生成的因素。
不过仍旧没有解决NDMA产生的原因,需要继续调查:
与杂质反应的假设
肟类杂质在理论上可以提供亚硝化试剂,因此研究了药典中的杂质G。
不过使用含杂质G较高的批次进行稳定性考察,发现杂质G并没有加速NDMA生成。
而且加入亚硝酸钠或者亚硝酸可以发现生成主要的是降解产物,只有极少量的NDMA。
结论是:无论是肟类还是亚硝酸钠作为杂质引入,都不被认为是降解产生NDMA的主要原因。
同位素标记研究
制备氘代的雷尼替丁样品1;

制备了氘代雷尼替丁和雷尼替丁混合样品2。
两种物料均是柱状形态。
纯氘代样品1通过降解实验只得到M+7分子量的NDMA,说明NDMA是结构中的二甲胺和硝基降解到得到,没有外源的二甲胺和亚硝酸试剂导致NDMA产生。
混合样品2降解得到四种分子量的NDMA:M+0,M+1,M+6,M+7,说明分子间反应也会发生。
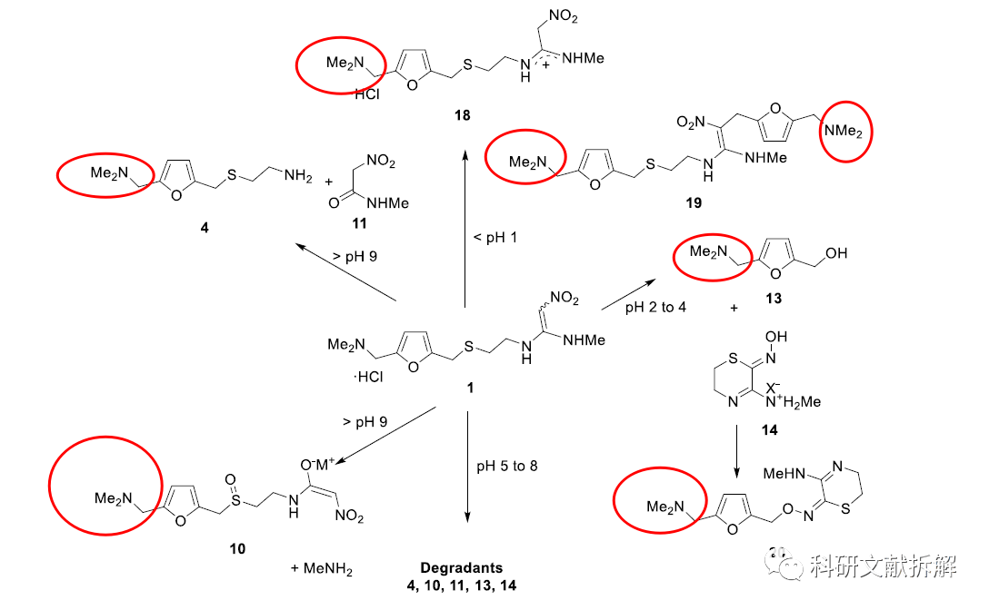
因此雷尼替丁中的NDMA产生途径是:药物结构中的硝基和二甲胺反应产生,至于反应机理,作者说还没有研究明白。
不过一些含有硝基结构的化合物作为亚硝化试剂已经被研究,比如溴代硝基甲烷、三氯硝基甲烷和四硝基甲烷等等。
想继续探究机理的可以参考上文:史上最全 亚硝胺基毒的全部产生途径和机理
这一通推理确实过瘾,不过含有这些基团的药物估计都已经躲在角落瑟瑟发抖了,哦,不对,是药企。
参考文献:RanitidineInvestigations into the Root Cause for the Presence of N?Nitroso?N,N?dimethylamine in Ranitidine Hydrochloride Drug Substances and Associated Drug Products
DoI:10.1021/acs.oprd.0c00462

